Главная-домашняя страница Карта сайта Отсылка сообщений с сайта
Вход | Регистрация
О нас | Услуги | Продукты | Материалы | Статьи | Новости | Контакты

Интегральный метод

Интегральный метод анализа направлен на определение влияния отдельных факторов с использованием мультипликативных, кратных и смешанных моделей. Он помогает отследить влияние факторов как по отдельности, так и в совокупности, а также проанализировать количественные и качественные изменения.

Преимущества интегрального метода:

Получение более точных результатов расчёта влияния факторов по сравнению с другими методами;

исключение неоднородной оценки влияния факторов, так как результаты расчётов не зависят от местоположения факторов в модели.

В основе интегрального метода лежит суммирование приращений функций на бесконечно малых промежутках.

Есть два основных типа задач, которые решаются при помощи интегрального метода:

Статистический. При нём отсутствует информация об изменении анализируемых факторов в течение данного периода. Примером такой задачи может быть анализ выполнения бизнес-планов либо анализ изменения экономических показателей по сравнению с предыдущим периодом.

Динамический. Имеет место в условиях наличия информации об изменении анализируемых факторов в течение данного периода. К такому типу задач можно отнести вычисления, связанные с изучением временных рядов экономических показателей.

Как правило, интегральный метод осуществляется с помощью вычислительной техники.

Свойства интегрального метода:

Не требует применения приемов по распределению неразложимого остатка по факторам, т.к. в нем действует логарифмический закон перераспределения факторных нагрузок позволяет достигнуть полного разложения результативного показателя по факторам и носит универсальный характер, т.е. применим к мультипликативным, кратным и смешанным моделям.

Использование этого способа позволяет получить более точные результаты вычисления влияния факторов по сравнению со способами цепной подстановки, абсолютных и относительных разниц и избежать неоднозначной оценки влияния: в данном случае результаты не зависят от местоположения факторов в модели, а дополнительный прирост результативного показателя, возникающий из-за взаимодействия факторов, распределяется между ними поровну.

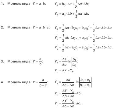
На практике используются специально сформированные рабочие формулы, приводимые в специальной литературе:



О нас

Помощь

Политика конфидициальности

Персональные данные

Правила пользования сайта



© Все права защищены. Администрация Сайта не несет ответственности за размещаемые Пользователями материалы (в т.ч. информацию и изображения), их содержание и качество.