Главная-домашняя страница Карта сайта Отсылка сообщений с сайта
Вход | Регистрация
О нас | Услуги | Продукты | Материалы | Статьи | Новости | Контакты

Расчет обобщенных характеристик интенсивности конкуренции

Показатель Обозначение Содержание
Интенсивность конкуренции Ux Определяется тремя агрегированными факторами Ut, Ur, Ud, характеризующими динамику роста рынка, рентабельность рынка и распределение рыночных долей конкурентов
Интенсивность конкуренции по динамике рынка Ut Характеризует возможности роста фирмы без столкновения с интересами конкурентов
Интенсивность конкуренции по рентабельности рынка Ur Характеризует соотношение спроса и предложения на рынке. Чем выше рентабельность рынка, тем более спрос превышает предложение и тем слабее влияние конкурентов
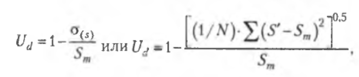
Интенсивность конкуренции по распределению рыночных долей Ud Характеризует силу влияния со стороны конкурентов, располагающих равной рыночной долей и, вероятно, аналогичной стратегией
Обобщенный показатель интенсивности конкуренции Uc Характеризует общую меру привлекательности анализируемого рынка
Рентабельность рынка Rm Определяется как отношение совокупной прибыли к ее совокупному потенциалу
Динамика рынка Tm Характеризует годовой темп роста рассматриваемого рынка в сопоставимых ценах
Объем рынка Vm Определяется совокупными ресурсами всех фирм, имеющихся на анализируемом рынке
Объем ресурсов фирмы Vb Определяется как объем ресурсов фирмы, имеющих место на рассматриваемом рынке
Объем ресурсов конкурентов фирмы Vc Определяется как объем ресурсов, размещенный фирмами-конкурентами на анализируемом рынке
Количество фирм N Число фирм, расположенных на анализируемом рынке
Рыночная доля фирмы S Определяется как отношение объема ресурсов данной фирмы на анализируемом рынке к объему рынка
Среднеарифметическая доля Sm Характеризует среднеарифметическую долю ресурсов, приходящихся на одну фирму на рассматриваемом рынке
Показатель динамичности рыночной доли фирмы ∆S Характеризует изменение рыночной доли фирмы в анализируемом периоде по сравнению с базовым
Темп прироста рыночной доли фирмы Ts Определяется изменением рыночной доли фирмы в анализируемом периоде по отношению к рыночной доле в базовом периоде. Отрицательные значения свидетельствуют об уменьшении рыночной доли, положительные — о ее росте
Среднеквадратичные отклонения рыночных доле σ1, σ2, σt Для фирм слабой позиции, сильной позиции и их темпов прироста
Прибыль фирмы Pr Совокупная прибыль фирмы, полученная за анализируемый период на рассматриваемом рынке

Динамика рынка, также называется темп роста рынка:

Tm = ((V’m - Vm)/Vm)*(12/t) + 1

Где, Tm – темпы изменения рынка;

Vam – совокупный объем продаж товара на данном рынке на конец анализируемого периода;

Vbm – совокупный объем продаж товара на данном рынке на конец базисного периода;

t – длительность периода (в месяцах).

Характеристика динамики рынка

Темпы изменения рынка Характеристика динамики рынка
Tm > 1,4 Ускоренный рост рынка
1 < Tm <= 1,4 Позиционный рост рынка
Tm = 1 Стагнация
0,7 <= Tm < 1 Сворачивание рынка
Tm < 0,7 Кризис рынка

По динамике рынка рассчитываются показатели интенсивности конкуренции (Ut). Можно принять, что если Тm > 1,4, то Ut = 0; при 0,7 < Тm < 1,4 Ut = (1,4 < Тm < 0,7; если Тm = 0,7, то Ut - 1. Показатель интенсивности конкуренции в данном случае характеризует остроту конкуренции: так, при Ut = 1 конкуренция максимальна.

Оценка рентабельности рынка (Rm) возможна, если есть данные о прибылях конкурентов на данном рынке. Хотя такие данные редко имеются в общем доступе.

Rm = (Pr/V’m) / (12 / t)

где Rm — прибыль, полученная конкурентами в рассматриваемом периоде;

Pr - прибыль фирмы;

V’m — активы конкурентов в конце анализируемого периода;

t — длительность анализируемого периода, мес.

Имея данные рентабельности, определяют коэффициенты интенсивности конкуренции по рентабельности (Ur). Если имеется неравенство 0 < Rm < 1, то Ur - 1 - Rm; а в случае Rm< 0, Ur стремится к 1.

Расчет рыночных долей фирмы, находящихся на рассматриваемом рынке, осуществляется по данным о ресурсах фирмы и объемах рынка:

На конец базисного периода

Sб = Vб/Vm

Sб - рыночная доля фирмы в базистном периоде

на конец анализируемого периода

Sm – среднеарифметическая рыночная доля фирмы на конец анализируемого года.

Sm = 1/N

N – количество фирм.

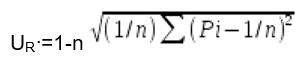
Интенсивность конкуренции Ud тем выше, чем ниже коэффициент вариации и рыночных долей на конец анализируемого периода.

Обобщенная характеристика интенсивности конкуренции рассчитывается по данным показателей

При приближении к 1 данного интегрального показателя конкуренция обостряется. В случае, если Ut и Ur неизвестны, то обобщенная характеристика интенсивности конкуренции не рассматривается.

Обобщающий показатель интенсивности конкуренции на рынке

Определим показатель интенсивности конкуренции, учитывающий рентабельность рынка:

UR=1-RP

где RP – рентабельность рынка, доли единицы.

Рассчитаем показатель интенсивности конкуренции, учитывающий доли конкурентов на данном рынке:

Вспомогательные расчеты для определения показателя интенсивности конкуренции, учитывающего доли конкурентов на данном рынке

№ предприятия Объемы реализации продукции Рыночная доля фирмы,Pi, доли ед. (Pi -(1/n))2
2012г. 2013г. 2012г. 2013г. 2012г. 2013г.
             
             

Обобщающий показатель интенсивности конкуренции:



О нас

Помощь

Политика конфидициальности

Персональные данные

Правила пользования сайта



© Все права защищены. Администрация Сайта не несет ответственности за размещаемые Пользователями материалы (в т.ч. информацию и изображения), их содержание и качество.