Главная-домашняя страница Карта сайта Отсылка сообщений с сайта
Вход | Регистрация
О нас | Услуги | Продукты | Материалы | Статьи | Новости | Контакты

Оценка монополизации рынка

Обратно пропорционально интенсивности конкуренции. Обычно используются CR2, CR3, CR4, CR5, CR8, CR10.

Этот показатель, характеризующий, какая доля рынка приходится на заданное количество самых крупных игроков.

При расчете показателя концентрации не учитывается доля рынка, покрываемая за счет импорта, и рассчитывается он лишь для отечественных поставщиков. Дольный показатель концентрации может быть рассчитан по формуле:

CRn = ∑ Ri , i=1, N

Где, CRn – дольный показатель концентрации;

Ri – доля рынка i-ой фирмы;

N – количество фирм, принятых во внимание.

Особенности использования индекса концентрации (CR) для практических целей

Поскольку индекс концентрации представляет собой арифметическую сумму, он фактически игнорирует структуру распределения рыночных долей между компаниями, которые вошли в расчет индекса.

Таким образом, индекс концентрации необходимо использовать как некое дополнение к другим экономическим показателям или количество (n) компаний подбирать таким образом, чтобы объективно соответствовать структуре распределения сил на рынке.

Для целей же общей оценки ситуации, индекс концентрации (CR) весьма приемлем. Любой бизнес-план содержит описание \"основных конкурентов\" и рыночной доли, которая на них приходится.

Индекс Херфиндаля-Хиршмана

Индекс Херфиндаля-Хиршмана можно рассматривать также как показатель концентрации, однако он характеризует не долю рынка, контролируемую несколькими крупнейшими компаниями, а распределение «рыночной власти» между всеми субъектами данного рынка.

Индекс принимает значения от 0 (в идеальном случае совершенной конкуренции, когда на рынке бесконечно много производителей, каждый из которых контролирует ничтожную долю рынка) до 1 (когда на рынке действует только одна фирма). Если считать рыночные доли в процентах, индекс будет принимать значения от 0 до 10 000. Чем больше значение индекса, тем выше концентрация производителей на рынке.

IHH = ∑Ri2 , i=1,N

Где, IHH – индекс Херфиндаля-Хиршмана;

Ri – доля i-ой фирмы;

N – количество фирм, действующих на рынке.

Значения индекса можно классифицировать на три крупные группы:

  • IHH меньше 1000. Рынок оценивается как неконцентрированный;
  • IHH больше 1000, но меньше 1800. Рынок рассматривается как умеренно концентрированный, но уровень индекса в 1400 вызывает тревогу и рассматривается как некий предупредительный сигнал;
  • IHH превышает 1800, рынок считается высококонцентрированным.

Интенсивность конкуренции на рынке

Интенсивность конкуренции на рынке представляет собой степень противодействия конкурентов в борьбе за рыночные ниши.

U = 1 – IHH

где, U – показатель интенсивности конкуренции на рынке;

IHH – индекс Херфиндаля-Хиршмана.

Коэффициент относительной концентрации рынка

Характеризует соотношение числа крупнейших предприятий на рынке и контролируемой ими доли реализации товара:

Где β - доля числа крупнейших предприятий рынка в общей численности предприятий,%;

α - доля продаж данных предприятий в общем объеме реализуемой продукции,%.

Коэффициент энтропии

Коэффициент энтропии представляет собой среднюю долю предприятий, действующих на рынке, взвешенную по натуральному логарифму обратной ей величины:

где Е – коэффициент энтропии;

Pi – доля продаж i-той фирмы на рассматриваемом товарном рынке;

n – число хозяйствующих субъектов на рынке.

Вспомогательные расчеты для определения коэффициента энтропии

№ предприятия Объемы реализации продукции Рыночная доля фирмы,Pi, доли ед. Рiln(1/Pi)
2012г. 2013г. 2012г. 2013г. 2012г. 2013г.
             
             

Коэффициент Розенблюта (Холла-Тайдмана)

Другим известным подходом является оценка распределения рыночных долей с помощью суммы квадратов рыночных долей конкурентов - индекса Херфиндала:

где Di–доля предприятия в общем объеме реализации продукции заданного ассортимента, которая рассчитывается следующим образом:

где Vi – объем реализации i-продавцом товара,

Vобщ.. - общий объем реализации товара.

Пороговое значение 0,18. При его превышении интенсивность конкуренции считается низкой, а концентрация - высокой. Значения индекса Херфиндала увеличивается по мере роста концентрации в отрасли и достигает 1 при чистой монополии. В отрасли (на рынке), где действует 100 равномощных предприятия с равными долями индекс равен 0.01.

Также в качестве границ интервалов, на основании которых принимается решение о степени рыночной концентрации могут использоваться значения 1000 и 1800, Значения индекса, большие 1800, говорят о высокой концентрации рынка. Значение 1000 означает, что при таком уровне концентрации на рынке действует минимальное возможное число хозяйствующих субъектов.

Индекс Розенблюта, который рассчитывается с учетом порядкового номера предприятия, полученного на основе ранжирования долей от максимума к минимуму:

где i – ранг предприятия.

Чем выше значение коэффициента, тем больше концентрация отраслевого рынка.

Вспомогательные расчеты для определения коэффициента Розенблюта (Холла-Тайдмана)

№ предприятия Объемы реализации продукции Рыночная доля фирмы,Pi, доли ед. Ранг фирмыRi ∑RiPi
2012г. 2013г. 2012г. 2013г. 2012г. 2013г. 2012г. 2013г.
                 
                 

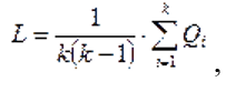
Коэффициент Линда (L).Определяет степень неравенства между лиди-рующими на рынке поставщиками товаров

где k — число крупных поставщиков (не менее двух);

где Qi – отношение средней доли рынка i-ых поставщиков к доле k – i поставщиков;

i – число ведущих поставщиков среди k- крупных поставщиков;

Ai – общая доля рынка, приходящаяся на i- поставщиков;

Ak – доля рынка, приходящаяся на k – крупных поставщиков.

Коэффициент Линда используется для определения границы олигополии. L рассчитывается для k=2, k=3 и так далее до тех пор, пока не будет Lk>Lk-1. Определяемая граница (k при Lk меньше, чем Lk-1) может характеризовать рынок на наличие жесткой олигополии (2, 3 фирмы на рынке) или размытой (6 - 7 фирм занимают 70 - 80% рынка), позволяя тем самым эмпирически выявить предполагаемый круг субъектов, способных согласованно ограничивать конкуренцию.

Некоторыми отечественными экономистами в дополнение к индексу Линда предлагается рассчитывать степень неравномерности распределения долей между участниками отраслевого рынка, которая определяется показателем неравнозначности конкурентов:

где, ПНК- показатель неравнозначности конкурентов;

Ск- доля крупнейшего конкурента на рынке;

Сi –доля i-поставщика, являющегося одним из основных конкурентов на рынке;

n-число основных поставщиков на рынке.

В зависимости от значений ПНК можно выделить два вида конкуренции среди основных участников рынка:

1 вид – равноправная конкуренция (ПНК = 100);

2 вид – неравноправная конкуренция (при ПНК меньше 100);

Коэффициент относительной концентрации

где Кок – коэффициент относительной концентрации производства;

β - доля крупнейших предприятий в общем количестве предприятий, %;

α - доля продукции предприятий в общем объеме выпускаемой продукции, %

Если коэффициент относительной концентрации производства меньше или равен единице, то степень концентрации производства высокая. Если же коэффициент больше единицы, то концентрация в отрасли отсутствует.

Для расчета степени монополизации регионального потребительского рынка может быть также применен другой коэффициент относительной концентрации:

где Кокр. – коэффициент относительной концентрации на региональном рынке;

В- доля трех крупнейших поставщиков в объеме товарной продукции на региональном рынке, %;

А – доля продаж трех крупнейших поставщиков в объеме товарной продукции на территориальном рынке, %.

Если Кокр. меньше либо равен единице, то степень концентрации на рынке высокая. Если на рынке присутствуют всего 3 или менее поставщиков, то значение коэффициента будет равно 0. Если значение коэффициента находится в интервале от 1 до 2, то рынок характеризуется средней степенью концентрации. А при значении коэффициента более двух - рынок неконцентрированный.

Индекс локализации для региона может быть получен следующим образом:

Где Si – число занятых в определенной отрасли i в регионе;

S – число занятых во всей обрабатывающей промышленности того же региона;

Ni- число занятых в отрасли i по стране;

N – число занятых в обрабатывающей промышленности по стране в целом.

При этом индекс может принимать значения как больше единицы, так и меньше. Между увеличением показателя локализации и сосредоточенностью работников существует прямо пропорциональная зависимость.

Данные инструменты мониторинга конкурентной среды должны использоваться в комплексе и позволяют произвести достаточно полную оценку степени монополизации или интенсивности конкуренции на отраслевом рынке.

Оценка рентабельности рынка:

Pr – прибыль полученная конкурентами в рассматриваемом периоде;

t – длительность периода;

V – активы конкурентов в конце анализируемого периода;

Коэффициент Лернера.

Существует несколько показателей, с помощью которых можно оценить величину входного барьера в отрасль. Один из таких показателей – индекс Лернера (L):

L= (P-ATCLR) /ATCLR,

где Р - цена реализации продукции;

ATClr - средние общие затраты фирмы в долгосрочном периоде.

Коэффициент Лернера как показатель степени конкурентности рынка позволяет избежать трудностей, связанных с подсчетом нормы доходности. Мы знаем, что при условии максимизации прибыли цена и предельные издержки связаны друг с другом посредством эластичности спроса по цене:

где МС – предельные издержки

Еd - ценовая эластичность спроса.

Коффициент Лернера принимает значения от нуля (на рынке совершенной конкуренции) до единицы (для чистой монополии с нулевыми предельными издержками). Чем выше значение индекса, тем выше монопольная власть и дальше рынок от идеального состояния совершенной конкуренции.

Сложность вычисления коффициента Лернера связана с тем, что информацию о предельных издержках довольно сложно получить. В эмпирических исследованиях часто используется такая формула для определения предельных издержек на основе данных о средних переменных затратах:

где AVC - средние переменные издержки,

r - нормальная норма прибыли,

d - норма амортизации

К - величина капитальных активов

Q - объем выпуска.

Однако прямое использование средних переменных издержек вместо предельных для определения значения коэффициента Лернера ведет к довольно существенным ошибкам. Отклонение величины от коэффициента Лернера тем выше, чем выше норма амортизации, нормальная прибыль и стоимость используемого капитала, и чем ниже общая выручка.

Значение индекса Лернера можно прямо связать с показателем концентрации продавцов на рынке олигополии, предположив, что он описывается моделью Курно. Модель Курно основана на предположении, что устанавливающая объем продаж фирма считает объем продаж других фирм неизменным. Для рынков олигополии, где n фирм взаимодействуют по Курно, показатель Лернера для фирмы будет находиться в прямой зависимости от доли фирмы на рынке (отношение объема продаж рынка к отраслевому объему продаж) и в обратной - от показателя эластичности спроса:

Средний для отрасли индекс Лернера (когда весами служат доли фирм на рынке) будет вычисляться по формуле:

где НHI - индекс концентрации Херфиндаля-Хиршмана. Таким образом, мы видим, что на рынке олигополии существует экзогенная взаимосвязь между показателем концентрации и монопольной власти.

Кларком, Дэвисом и Уотерсоном предложили следующую интерпретацию зависимости индекса Лернера от уровня концентрации с учетом согласованности ценовой политики фирм:

где β - показатель согласованности ценовой политики фирм, принимающий значения от 0 (что соответствует взаимодействию фирм по Курно) до 1 (что соответствует заключению картельного соглашения). Чем выше показатель согласованности ценовой политики, тем меньше зависимость индекса Лернера для фирмы от ее доли на рынке, а для отрасли в целом - от концентрации продавцов. Сам показатель сговора оценивался исследователями на основании построения линейной регрессии, показывающей зависимость индекса Лернера для фирмы от ее доли на рынке.

При таком некооперативном поведении продавцов в модели Курно значение индекса Лернера линейно зависит от доли фирмы на рынке (показатель равен нулю). Напротив, в рамках картельного соглашения индекс Лернера не зависит от доли фирмы на рынке (напомним, что по условию максимизации прибыли картеля предельная выручка на рынке должна быть равна предельным издержкам каждой фирмы, входящей в картель, следовательно, предельные издержки членов картеля равны между собой). По оценкам этих исследователей, в 104 рассмотренных ими отраслях показатель согласованности ценового поведения изменялся от 0,039 до 0,536, причем полученные результаты подкреплялись другими данными о наличии или отсутствии согласованности в ценообразовании и определении выпуска продавцами.

Взаимосвязь между показателем концентрации (индексом Херфиндаля-Хиршмана) и показателем монопольной власти является главным достоинством индекса Лернера с точки зрения экономической теории. Это его свойство широко используется в эмпирических исследованиях.



О нас

Помощь

Политика конфидициальности

Персональные данные

Правила пользования сайта



© Все права защищены. Администрация Сайта не несет ответственности за размещаемые Пользователями материалы (в т.ч. информацию и изображения), их содержание и качество.