Логотип
Хижина
Летучего
Мыша
  Вход

  Регистрация

Ориентировочные расчеты по производству нового продукта

Проект внедрения продукции включает в себя следующие элементы:

Конструкторские и технологические работы

Конструкторской и технологической документации может быть разработана или своими силами, или заказа в специализированной конторе. Если изделение не сложное или производство не предполагается большим, то можно проработать эти вопросы самостоятельно. Примером может выступать небольшой бизнес про производству мебели. В случае сложного изделия или сдожного технологического изделия (в случае отсуствия своего отдела по разраюотке) стоит заказывать данный тип документации.

Данный вид документации нужен для получения норм (времени на выполнение разных производство на отдельных этапах) производства продукции и выбора нужного оборудования для производства.

Проектно-организационные работы

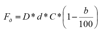
Расчет действительного фонда времени работы оборудования

Для определения производительности оборудования и потребности в нем необходимо знать фонд времени его работы.

Действительный фонд времени рассчитывается по формуле, ч/ед:

Формула действительного фонда времени

где

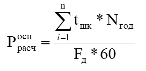
Определение количества рабочих мест

Расчетное число рабочих мест в подразделении может быть определено по формуле:

Формула расчетное число рабочих мест в подразделении

где

Выбор и обоснование типа производства

Типом производства называется классификационная категория производственного процесса, выделяемая признаками номенклатуры производимой продукции, стабильностью и объемом выпуска изделий. Различают три типа производства: единичное, серийное и массовое. Одно из основных характеристик типа производства является коэффициент закрепления операций, который представляет собой отношение числа всех технологических операций к числу рабочих мест при выполнении соответствующего технологического процесса изготовления продукции:

Формула коэффициент закрепления операций

где

Значения для коэффициента закрепления операций для различных типов производства:

Потребность в оборудовании и производственной мощности

Расчет потребности оборудования Qр:

Формула расчета потребности в оборудовании

где

Формула расчета часовой производительность

где, tшт – штучное время на i-той операции.

Коэффициент расчета загрузки станков можно рассчитать по формуле:

Формула расчета коэффициента расчета загрузки станков

где

Производственная мощность:

Формула расчета производственной мощности

где

Расчет размера партии изделий

Партией называется установленное количество изделий одного наименования, непрерывно обрабатываемых на одном рабочем месте с однократными затратами подготовительно-заключительного времени.

Размеры партии изделий устанавливаются так, чтобы достигалась их согласованность с программой выпуска изделий, не нарушалась регулярность и равномерность производства. В связи с этим требованием размер партии должен быть достаточно большим для того, чтобы уменьшалось время на подготовку и наладку оборудования. Но слишком большой размер партии изделий увеличивает длительность цикла производства. При расчете размеров партии изделий невозможно заранее учесть влияние всех имеющихся факторов на изменение затрат, так как это влияние носит вероятностный или даже неопределенный характер, неподдающийся точной количественной оценке.

Для расчета размеров партии изделий одного наименования можно использовать метод - по допустимому проценту подготовительно-заключительного времени в общем времени занятости оборудования.

Размер партии можно определить по формуле:

Формула расчета размера партии

Расчет численности персонала и фонда заработной платы

Численность основных рабочих

Численность основных рабочих может быть определена по нижеприведенной формуле:

Формула расчета численности основных рабочих

где

Списочная численность:

Формула расчета сисочной численности

где, К=1,1 – коэффициент, учитывающий невыходы на работу по уважительной причине.

Кроме основных рабочих, производящих продукцию, деловое участие в работе участка принимают работники централизованных служб цеха, осуществляющие обеспечение процесса основного производства (вспомогательные рабочие, ИТР и служащие).

Численность вспомогательных рабочих (ремонтники, наладчики, контроллеры) укрупнено может быть определена в размере 28-32% от численности основных рабочих.

Численность инженерно-технических работников (ИТР) и служащих укрупнено может быть определена в размере 8-12% от численности всех рабочих (основных и вспомогательных).

Формула расчета численности инженерно-технических работников (ИТР)

Общая численность персонала на участке составит:

Формула расчета общей численности персонала на участке
Расчет фонда заработной платы
Заработная плата основных рабочих

Основная и дополнительная заработная плата основных рабочих на изделие:

Формула расчета основной и дополнительной заработной платы основных рабочих на изделие

где

Годовой фонд заработной платы основных рабочих:

Формула расчета годового фонда заработной платы основных рабочих

где

Месячный фонд заработной платы основных рабочих:

Формула расчета месячный фонд заработной платы основных рабочих
Заработная плата вспомогательных рабочих
Формула расчета месячный фонд заработной платы основных рабочих

где

Месячная заработная плата вспомогательных рабочих
Формула расчета месячной заработной платы вспомогательных рабочих
Заработная плата вспомогательных рабочих, приходящая на изделие
Формула расчета заработной платы вспомогательных рабочих, приходящая на изделие

где

Заработная плата ИТР и служащих
Формула расчета заработной платы ИТР и служащих

где

Заработная плата ИТР, относимая на 1 изделие
Формула расчета заработной платы ИТР, относимая на 1 изделие

Отчисления на социальное страхование

Производятся в соотвествии с налоговым законодательством, где можно найти список и способы расчета, в том числе и ставки по нужным налогам.

Стоимость оборудования и технологической документации

Стоимость оборудования определяется по справочникам или сайтам поставщика (или производителя) конкретного оборудования.

Стоимость технологической документации определяется той организацией, в которой она заказывается. Или размером заработной платы, тех людей, которые занимаются разработкой (конструкторский отдел или иные люди).

Затраты на сырье и материалы

Затраты на материалы можно определить по следующей формуле:

Формула расчета заработной платы ИТР, относимая на 1 изделие

где

Расходы на содержание и эксплуатацию оборудования

Расходы на содержание и эксплуатацию оборудования включают в себя затраты на ремонт, износа оборудования на полное восстановление, затраты на электроэнергию, затраты на смазочно-обтирочные материалы. Расчет производится по ниже приведенной формуле:

Формула расчета расходов на содержание и эксплуатацию оборудования

где

Затраты на ремонт оборудования Сpi приходящиеся на операцию, охватывают затраты на все виды ремонтов (капитальных, средних, малых), на осмотры на все виды межремонтного обслуживания, предусмотренных системой планово-предупредительных ремонтов (ППР) оборудования.

На стадии проектирования затраты на ремонт оборудования обычно устанавливают в процентах к применяемой в расчете стоимости оборудования.

Износ оборудования на полное восстановление Си рассчитывается:

Формула расчета износа оборудования на полное восстановление

где

Норма износа основных фондов на полное восстановление определяется по действующим нормативам для каждой группы основных производственных фондов.

Нормы износа основных фондов на полное восстановление

Показатели Нормы отчисления Стоимость оборудования, руб. Отчисления, руб.
Производственное оборудование 10%    
Подъемно-транспортное оборудование 16,67%    
Энергетическое оборудование 20%    
Инструменты и приспособления 33%    
Затраты на электроэнергию

Затраты на электроэнергию вычисляют по формуле:

Формула расчета затрат на электроэнергию

где

Расчет годового расхода электроэнергии осуществляется по следующей формуле:

Формула расчета годового расхода электроэнергии

где

Затраты на смазочно-обтирочные материалы укрупнено могут быть приняты в размере 8 - 10% от затрат на ремонт оборудования:

Формула расчета затрат на смазочно-обтирочные материалы
Амортизация

Способ начисления и ставки определяется бухгалтерией. Также определяется законодательством.

Затраты на эксплуатацию технологической оснастки
Формула расчета затрат на эксплуатацию технологической оснастки

где

Затраты на эксплуатацию специальных приспособлений:
Формула расчета затрат на эксплуатацию специальных приспособлений

где

Затраты на содержание помещений

С учетом освещения, канализации, обеспечение горячей и холодной водой принимаются, укрупнено, из расчета 20% от балансовой стоимости производных площадей.

Себестоимость изделия

В соответствии с произведенными расчетами составим себестоимость изделия по форме

Годовая себестоимость продукции

№ п/п Наименование статей Всего на производственную программу, руб.
1 Основные материалы (за вычетом отходов)  
2 Заработная плата основных рабочих  
3 Отчисления на социальные нужды  
4 Заработная плата и отчисления на соц. нужды вспомогательных рабочих  
5 Затраты на электроэнергию  
6 Затраты на инструмент  
7 РСЭиО (Расходы по содержанию и эксплуатации оборудования)  
8 Цеховые расходы  
9 Итого цеховая себестоимость  
10 Общезаводские расходы  
11 Итого полная себестоимость  
Цена изделия

Существуют следующие основные способы установления цены на продукцию:

Определение цены по издержкам

Зная себестоимость продукции можно определить цену изделия (Ц):

Формула расчета цены изделия по издержкам

где

Оценка эффективности проекта

Для оценки эффективности инвестиционных проектов, как правило, применяются стандартные методы расчета:

Также могут использоваться и иные методы расчета эффективности инвестиционных проектов.

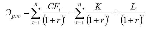
Экономический эффект за расчетный период времени определяется как величина, полученная дисконтированием разницы между всеми годовыми притоками и оттоками реальных денег, накапливаемыми в течение всей жизни проекта. Этот показатель также носит названия как чистая приведенная стоимость (NPV).

Формула расчета эконоического эффекта или чистой приведенной стоимости

где

Срок окупаемости определяется как период времени, в течение которого инвестиции будут возвращены за счет доходов, полученных от реализации инвестиционного проекта.

Существует три способа расчета: по формуле, дисконтированный способ и табличный.

Простой срок окупаемости рассчитывается по формуле: Срок окупаемости = размер капитальных вложений / планируемая прибыль за год. Этот способ применяют, когда нужно сравнить несколько похожих проектов с одинаковым периодом реализации, инвестиции вкладывают единовременно, а прибыль от проекта поступает в течение года регулярно, равными платежами.

Дисконтированный срок окупаемости позволяет определить период возврата инвестиций с учётом изменения стоимости денег. Формула расчёта: S / ((1 + D)P) > I,

где

При расчёте срока окупаемости важно учитывать, что все вычисления примерные, так как невозможно определить точные денежные потоки в каждом отчётном периоде. Для более точной оценки потребуется дополнительный анализ других финансовых показателей, таких как рентабельность проекта, внутренняя норма доходности, индекс прибыльности, чистая стоимость капитала и другие.

Табличный способ расчета предполагает составление таблицы, один из столбцов предполагает внос месяцев и годов проекта, во втором столбце - поступления. Сроком окупаемости выступает то количество месяцев, в котором все инвестиционные затраты были перекрыты поступлениями от проекта.

Расчет внутренней нормы доходности

Иными словами, IRR находят из уравнения:

Формула расчета внутренней нормы доходности

После расчетов, происходит сравнение расчетного значения IRR с нормой доходности: